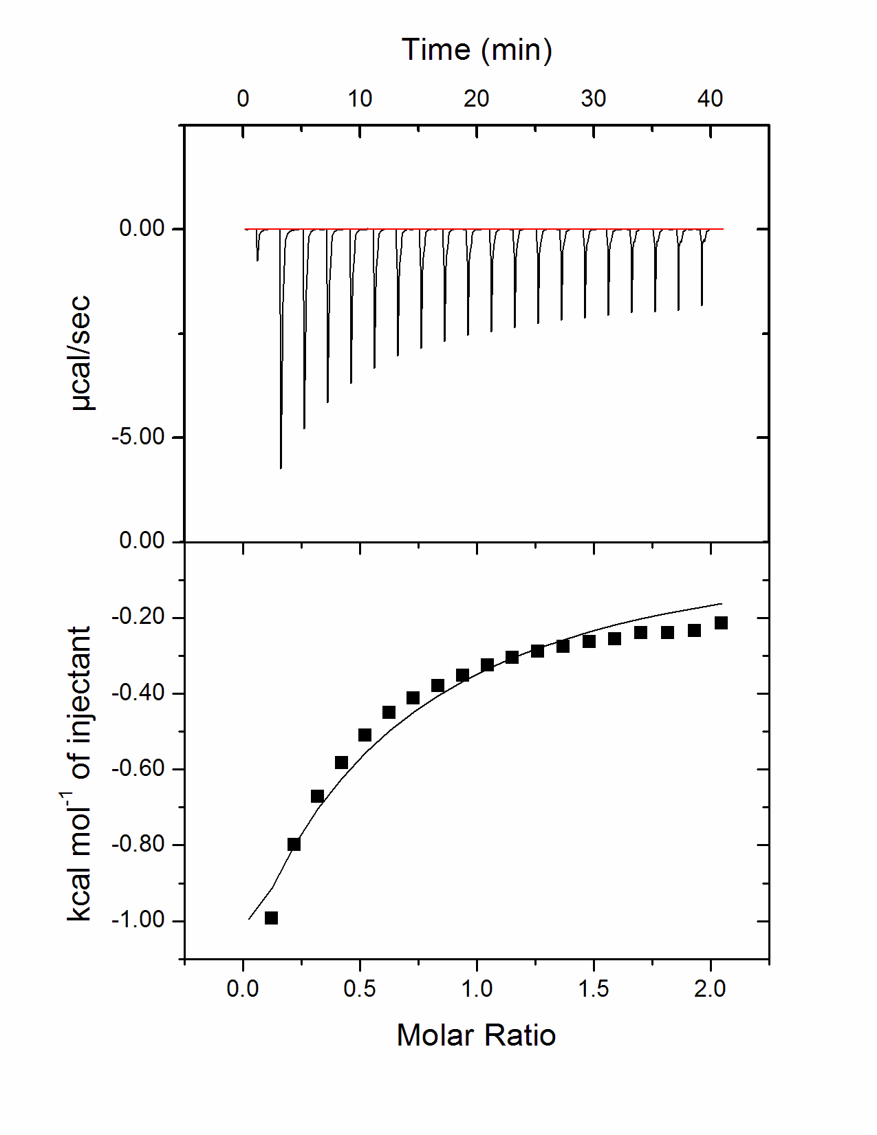
使用ITC测定环糊精与硫酸对甲酚的结合常数
环糊精和硫酸对甲酚的相互作用符合常规的主客体作用模式。
环糊精是一类中空杯装的分子,其特殊的构型使得其外侧具有亲水性,同时内部为疏水环境。由于硫酸对甲酚具有疏水性的芳香环结构,在水溶液中,芳香环结构更倾向于进入疏水的环糊精空腔中,形成稳定的复合物。
样品的准备:
精确称量环糊精,将其溶于5 mL水中,超声分散30 min;
精确称量硫酸对甲酚,将其分散于5 mL水中,超声分散30 min;
准备约100 mL超纯水,过膜,用于清洗ITC设备;
将环糊精和硫酸对甲酚溶液分别通过针头滤器(0.22 um)过滤,除去不溶的固体颗粒;
反应条件:
Total & Injections:20
Cell Temperature(0C.):25
Reference Power(µcal/sec.):10
Initial Delay (sec.):60
Syringe Concentration (mM):0.1
Cell Concentration (mM):0.01
Stirring Speed (RPM):1000
Injection Parameters
|
Volume |
Duration |
Spacing |
Filter |
1 |
0.5 |
1 |
150 |
1 |
2 |
2 |
4 |
150 |
1 |
3 |
2 |
4 |
150 |
1 |
4 |
2 |
4 |
150 |
1 |
5 |
2 |
4 |
150 |
1 |
6 |
2 |
4 |
150 |
1 |
7 |
2 |
4 |
150 |
1 |
8 |
2 |
4 |
150 |
1 |
9 |
2 |
4 |
150 |
1 |
10 |
2 |
4 |
150 |
1 |
11 |
2 |
4 |
150 |
1 |
12 |
2 |
4 |
150 |
1 |
13 |
2 |
4 |
150 |
1 |
14 |
2 |
4 |
150 |
1 |
15 |
2 |
4 |
150 |
1 |
16 |
2 |
4 |
150 |
1 |
17 |
2 |
4 |
150 |
1 |
18 |
2 |
4 |
150 |
1 |
19 |
2 |
4 |
150 |
1 |
20 |
2 |
4 |
150 |
1 |
实验结果:


注意事项:
注射器中样品浓度可设为样品池中浓度的10倍,并非强制要求,可以按照实际情况具体调整;
由于ITC所需样品很少,而称量样品时,天平存在一个固定的误差,因而称量样品越多,最终获得的样品浓度越可靠,因而样品称取时建议配置成母液,在使用时稀释至工作浓度;
ITC主要测定的是作用过程的吸放热,因而在正式试验之前建议进行预实验摸索最佳的实验浓度,进而提高实验的成功率与准确性;
实例中的水并不是强制要求,使用buffer应针对不同的实验,合理选择;
同时不同溶剂在彼此滴定的过程中可能存在放热的现象,因而溶解主客体溶质的时候尽可能使用同一批次的同一种buffer,若操作中无法实现使用相同的buffer,则可以考虑增加只含有buffer的空白滴定,在后期扣除背景;